Pint Glider Hand Launch Catapult Flying All Balsa 30 Degree Wing Gliders Balsa Glider Airplane Design
Pint Glider Hand Launch Catapult Flying All Balsa 30 Degree Wing Gliders Balsa Glider Airplane Design
Panabalsa Panamericana De Balsa Panabal S A Guayaquil
Panabalsa Panamericana De Balsa Panabal S A Guayaquil
Panabalsa Panamericana De Balsa Panabal S A Guayaquil
Panabalsa Panamericana De Balsa Panabal S A Guayaquil
Panabalsa Panamericana De Balsa Panabal S A Guayaquil
Building A Wooden Boat Boat Plans Work Boats Balsa Wood Diy Wood Boat Plans Wood Boats
Boyas Ch Artesanales De Madera Balsa 1 631 Photos Product Service 7100 7100
Balsa Wood Bridge Julian Dinsing 419 Pounds Wood Bridge Bridge Structure Bridge Design
Pdf Extraction And Characterization Of Cellulose Nanowhiskers From Balsa Wood
Boyas Ch Artesanales De Madera Balsa 1 631 Photos Product Service 7100 7100
Ijmee 31 1 4 Temperature Heat Transfer
Boyas Ch Artesanales De Madera Balsa Inicio Facebook
The General Assembly For Tolerance And Peace Calls For A Ceasefire For Libya Atalayar Las Claves Del Mundo En Tus Manos
Pdf Life Cycle And Development Of Coptoborus Ochromactonus Coleoptera Curculionidae Scolytinae A Pest Of Balsa
Wildan Fate Wildanbismillah On Pinterest
495786 Pdfs And Publications In Mortality
Uniseriate High Resolution Stock Photography And Images Alamy
Reliability Of Structures Request Pdf
Chapter 2 Overview Of Concrete Technologies Concrete Technology For Transportation Applications The National Academies Press
Pdf Ch 3 Water Resources Climate Change Impacts In The United States The Third National Climate Assessment
Finescale Modeler January 2018 Unrest
10 Rc Airplane Parts And Controls Ideas Rc Airplanes Radio Control Planes Airplane
Ijmee 31 1 4 Temperature Heat Transfer
Baisa High Resolution Stock Photography And Images Alamy
Fast Growing Pioneer Tree Stands As A Rapid And Effective Strategy For Bracken Elimination In The Neotropics Douterlungne 2013 Journal Of Applied Ecology Wiley Online Library
495786 Pdfs And Publications In Mortality
Provisional List Of Delegations To The United Nations Rio 20
Pdf Additive Manufacturing In Unmanned Aerial Vehicles Uavs Challenges And Potential
495786 Pdfs And Publications In Mortality
495786 Pdfs And Publications In Mortality
495786 Pdfs And Publications In Mortality
495786 Pdfs And Publications In Mortality
495786 Pdfs And Publications In Mortality
495786 Pdfs And Publications In Mortality
495786 Pdfs And Publications In Mortality
Best Top Sinobi Watches Women Slim Near Me And Get Free Shipping A785
Pdf Secondary Metabolites From The Resins Of Aloe Vera And Commiphora Mukul Mitigate Lipid Peroxidation
Best Top Sinobi Watches Women Slim Near Me And Get Free Shipping A785
495786 Pdfs And Publications In Mortality
Advances In Rehab Assessment In Pm R Adaptation Physical Therapy
Pdf Antcounter Software Counting Leaf Cutting Ants Was Never So Precise Fast And Easy
Medicc Review Use Of Interferon For Viral Infections Research Articles
Pdf Automatic 3d Reconstruction Of Structured Indoor Environments
495786 Pdfs And Publications In Mortality
495786 Pdfs And Publications In Mortality
New Orleans Daily Crescent Volume New Orleans La 1851 1866 February 21 1854 Morning Image 1 Chronicling America Library Of Congress
The Impact Of Extreme El Nino Events On Modern Sediment Transport Along The Western Peruvian Andes 1968 2012 Scientific Reports
495786 Pdfs And Publications In Mortality
Effect Of Light On The Concentration Of Ethyl Carbamate In Cachaca Stored In Glass Bottles Zacaroni 2015 Journal Of The Institute Of Brewing Wiley Online Library
495786 Pdfs And Publications In Mortality
Colonia Express Viaja A Uruguay Mejores Paquetes Turisticos
495786 Pdfs And Publications In Mortality
Jesus Delegido Professor Full Phd University Of Valencia Valencia Uv Physics Of The Earth And Thermodynamics
Boyas Ch Artesanales De Madera Balsa 1 631 Photos Product Service 7100 7100
Advances In Rehab Assessment In Pm R Adaptation Physical Therapy
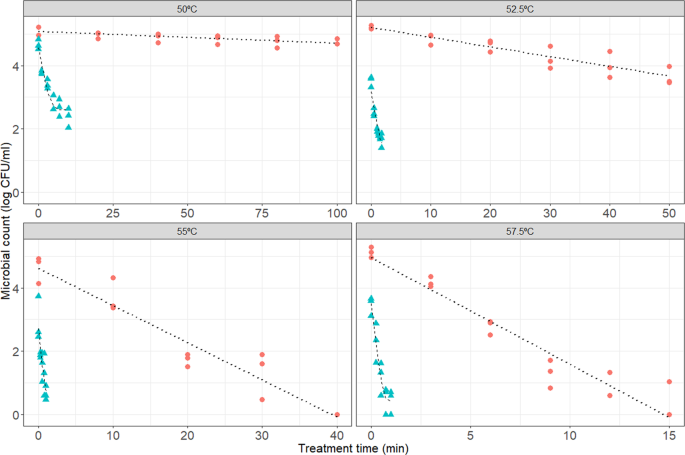
Limonene Nanoemulsified With Soya Lecithin Reduces The Intensity Of Non Isothermal Treatments For Inactivation Of Listeria Monocytogenes Scientific Reports
Boyas Ch Artesanales De Madera Balsa Inicio Facebook
Finescale Modeler January 2018 Unrest
Reviews Archives Mirador De Les Arts
Guillermo Schinella Lecturer Researcher In Basic Pharmacology Msc Medical Plants Bsc Hons Chemistry Universidad Nacional De La Plata La Plata Unlp Catedra De Farmacologia Basica Facultad De Ciencias Medicas
Adolfo Amezquita Professor Full Phd Los Andes University Colombia Bogota Uniandes Department Of Biological Sciences
Andres Castillo Research Professor Phd Universidad Del Valle Colombia Cali Univalle Department Of Biology
Boyas Ch Artesanales De Madera Balsa 1 631 Fotos Producto Servicio 7100 7100
200 Yoonseok Ideas Yoonseok Bangtan Hoseok
Tienda Online Para Comprar Material De Nautica Y Pesca
Provisional List Of Delegations To The United Nations Rio 20
Guia Yo Kai Watch 3 Nintendo 3ds
Finescale Modeler January 2018 Unrest
Advances In Rehab Assessment In Pm R Adaptation Physical Therapy
Provisional List Of Delegations To The United Nations Rio 20
Pdf Adaptive Composite Marine Propulsors And Turbines Progress And Challenges
Baila Baila Baila Our Favorite Latin Songs This Week Alt Latino Npr
Finescale Modeler January 2018 Unrest
Provisional List Of Delegations To The United Nations Rio 20
Tarak Meheta Ka Ulata Chshma Tarce Adkins Pages Directory
Boyas Ch Artesanales De Madera Balsa 1 631 Photos Product Service 7100 7100
Tarak Meheta Ka Ulata Chshma Tarce Adkins Pages Directory
Your Brain On Drugs Imaging Of Drug Related Changes In The Central Nervous System Radiographics



Comments
Post a Comment